논문 통계분석 작성법_논문통계 및 논문해석, 표작성까지 깔끔하게 하는 방법_퀵데이터에서 알아볼까요^^

안녕하세요~~~
석사 논문 통계분석, 박사 논문 통계분석 어떻게 뭘 먼저 시작해야 할지 답답하시다고요??
무슨 분석을 활용해서 논문 통계분석 및 작성을 해야 할지 어려우신가요?
오늘은 논문통계분석 목차순서, 표작성, 그림작성, 논문통계 해석 등 어떻게 배치하고 작성해야 하는지 논문 통계분석 작성법에 대해 알아보겠습니다.

[논문 통계분석 목차]
제4장 실증분석
제1절 일반적 특성
1. 표본의 일반적 사항
2. 표본의 기술적 통계
제2절 신뢰도 및 타당성 분석
1. 신뢰도 분석
2. 집중타당도 분석
3. 상관관계 및 판별타당도 분석
제 3절 연구결과
1. 차이 검증
2. 사전, 사후에 대한 차이 검증
3. 시간 변화에 따른 차이 검증
제1절 일반적 특성
1. 표본의 일반적 사항
연구의 일반적 특성을 살펴보기 위해서는 SPSS 프로그램을 이용해 빈도분석을 실시하고, 표본을 구분해서 설명한다.

2. 표본의 기술적 통계
연구의 주요 변수의 정규성 검정을 위해 SPSS 프로그램을 이용해 기술통계분석을 실시하고, 평균, 표준편차, 왜도, 첨도를 살펴보고 설명한다.

제2절 신뢰도 및 타당성 분석
1. 신뢰도 분석
연구의 요인 내 항목들의 일관성을 확인하고 위해, SPSS 프로그램을 이용해 신뢰도 분석을 실시하고, Cronbach's a값을 표기해 준다.

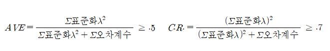
2. 집중타당도 분석
이론적 근거에 의하여 측정구조모형이 가설적으로 구축된 것을 확인하기 위하여 AMOS 프로그램을 이용해 확인적 요인분석을 실시하고, 집중타당성을 확인한다.


3. 상관관계 및 판별타당도 분석
연구의 사전 조사의 자료로 각 변수 간의 상관성을 확인하기 위해 SPSS 프로그램에서 상관관계 분석을 실시하고, 상관관계 및 판별타당성을 검증한다.


제3절 연구결과
1. 차이 검증
주요 변수의 유의한 차이를 알아보기 위해 표본의 인구통계학 변수들과 변인들에 대한 차이를 분석하기 위해서, SPSS 프로그램을 이용해 독립표본t-검정 및 일원 배치 분산분석을 하며, 표는 [표4-6]과 [표4-7]처럼 작성한다.


2. 사전, 사후에 대한 차이 검증
연구의 1차와 2차를 비교하기 위해서, SPSS 프로그램으로 대응표본t-검정을 실시하였다. 표는 [표4-8]과 같이 작성하면 된다.

3. 시간 변화에 따른 차이 검증
시간 변화에 따른 영향을 살펴보기 위해서 SPSS 프로그램을 이용해 반복측정 분산분석을 실시하였고, 표는 [표4-9]와 같이 작성한다. 그래프는 [그림4-1]과 같이 표현한다.




퀵데이터 논문통계분석은 명확한 통계분석, 통계분석 해석, 표 작성, 그림 작성, 참고문헌까지~~
통계전문가가 논문 규정에 맞는 분석 및 작성을 제공해 드립니다.
완벽한 실증분석!!!
통계분석 관련 궁금한 사항 및 문의사항을 남겨주시면 친절하게 상담해 드립니다.
☎ 1600-7473


