
의학, 의료, 보건, 진단 임상시험 등에서 표본크기는 검정력 분석과 동일한 개념으로 산출되는데 검정력 분석은 전향적 연구에서 사전 검정력 분석(연구시작 단계에서 미리 설정)과 후향적 연구에서 사후 검정력 분석(통계분석 결과가 나온 후 시행)이 있습니다.
임상 증거의 수준 측면에서 전향적 연구는 후향적 연구에 비하여 장점을 갖고 있고 증거의 수준이 높아 권장되는 설계 방법 중 하나입니다.
또한 확률화 배정은 임상 증거의 수준을 평가할 때 적합한 설계 방법이 될 수 있습니다.
후향적 연구의 표본크기 설정
후향적 연구에서 검정력 또는 표본크기 계산은 불필요해요.
후향적 사례-대조군 연구에서 검체수가 정해져 있기 때문에 연구 대상자 모집의 별도의 시간과 비용이 들지 않고,
윤리적 문제가 없으므로 많을수록 좋습니다.
후향적 연구에서 통계적으로 유의한 결과가 나왔을 땐 이미 검정력이 충분하다는 것이니까 검정력 분석을 할 필요가 없답니다.
후향적 연구에서 표본크기는 미리 설정할 수 없지만 통계분석 방법에 따라 최소 표본크기가 달라집니다.
최소 표본 크기보다 작으면 집단간 측정값 차이(효과차이)가 아무리 커도 통계적 유의성은 없어지죠.
최소 표본 크기는 통계적 방법에 의한 법칙은 없고 경험적 법칙에 의합니다.
중심극한정리에 의하여 표본크기가 n=30이면 검정력이 충분한데, 중심극한정리가 표본분포의 정규성에 관한 것이라 검정력과는 무관하기 때문입니다.
전향적 연구의 표본크기 설정
임상시험에 필요한 검체수는 연구목적, 연구모델, 통계적 가설, 검정력, 정밀도, 통계적 분석 등에 다양한 요소에 의해 결정됩니다.
★ 통계적 계산에 사용되는 요소
1) 검정력을 높게 설정할 경우 표본크기가 커집니다. 일반적 검정력(1-B)은 0.8로 설정해요.
2) 정밀도 역시 높게 설정할 경우 표본크기가 커집니다. 정밀도는 표준편차가 작을수록 높아집니다.
3) 유의수준은 낮게 설정하면 표본크기가 커집니다. 유의수준(α)은 일반적으로 0.05로 설정합니다.
4) 효과크기를 작게 설정하면 표본크기가 커집니다. 효과크기는 최소 크기로 설정해야 해요.
여기서 잠깐, 효과크기를 알아보고 갈게요.
효과크기는 임상시험에서 치료 효과의 크기를 말하고, 집단들 간 연구 결과 혹은 목표 지표를 비교하는데 사용됩니다.
효과크기 예를 들어 볼게요.
eg. 비만 환자에서 Diet A와 Diet B 두가지 방법을 1년간 시행 후 체중 감소의 평균은 Diet A군에서 10(3), Diet B에서 8(3)일 때
효과크기는 얼마일까요?
A : 평균차에 대한 효과크기는 Z-score 산출 공식과 비슷합니다.


전향적 연구의 표본크기 계산은 위의 4가지 요소 외 통계 분석 방법에 따라 달라지는데 가설, 변수, 표본수 등에 따라 결정됩니다.
연속형 변수의 평균차이, 범주형 변수의 비율 차이를 예로 들어 연구대상자 수를 산정해 보겠습니다.
T-test 표본 크기
1) 두 표본 t-test에서 일반적 가설검정

귀무가설(평균이 같다)

대립가설(평균이 다르다)
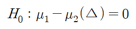
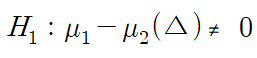
2) 효과크기를 고려한 가설검정(평균차이의 크기를 미리 설정해서 검정)

평균차가 없다

평균차가 있다
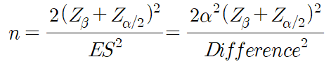
독립 두 표본 t-tets에서 표본크기 산출 공식

· Zα/2 : 1종 오류에서 Z값으로 양측검정 유의수준 α=0.05 → Zα/2=1.96
· Zβ : 2종 오류에서 Z값으로 β=0.2(검정력 80%) → Zβ=0.84
· σ : 각 표본집단의 표준편차 (두 집단 표준편차는 동일 간주)
·Difference(Δ, δ) : 임상적으로 유의한 평균차이 Δ(delta)=μ1- μ2
t검정으로 검체수 산정 예를 들어 볼게요.
eg. 새로운 다이어트 방법이 기존 방법에 비해 혈중 콜레스테롤을 낮추는 효과가 있는지 알아보는 병행설계 임상시험을 계획하였다. 3개월 시행 후 시험군과 대조군의 평균 콜레스테롤 차이가 최소 10mg/dl이면 치료효과가 있다고 판정한다. 선행연구에서 콜레스테롤 표준편차는 20mg/dl로 알려져 있다. 유의수준 α=0.05, 검정력 80%로 설정하여 필요한 연구 대상 표본 크기는 얼마일까요?
A : 통계분석은 t검정을 이용하여 평균차에 대한 양측검정을 합니다.
귀무가설 H0 : 새로운 다이어트 3개월 후 콜레스테롤 - 기존 다이어트 3개월 후 콜레스테롤 = 0mg/dl
대립가설 H1 : 새로운 다이어트 3개월 후 콜레스테롤 - 기존 다이어트 3개월 후 콜레스테롤 ≠ 0mg/dl

따라서, 시험군과 대조군에 필요한 검체수는 각각 63명으로 산정할 수 있습니다.
Z-test 표본 크기
1) Z검정의 일반적 가설검정
귀무가설 H0 : P1 = P2 (비율이 같다)
대립가설 H1 : P1 ≠ P2 (비율이 다르다)
2)효과크기를 고려한 가설검정(비율차이 크기를 미리 설정하여 검정)
귀무가설 H0: P1 - P2 (Δ) = 0 (비율차가 없다)
대립가설 H1: P1 - P2 (Δ) ≠ 0 (비율차가 있다)
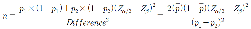
Z-tets에서 표본크기 산출 공식

· Zα/2 : 1종 오류에서 Z값으로 양측검정 유의수준 α=0.05 → Zα/2=1.96
· Zβ : 2종 오류에서 Z값으로 β=0.2(검정력 80%) → Zβ=0.84
· p-- (p바) : 두 표본집단의 평균비율, p-- (p바)=(p1+p2)/2
·Difference(Δ) : 임상적으로 유의한 비율차이 Δ(delta)=p1- p2
Z검정으로 검체수 산정 예를 들어 볼게요.
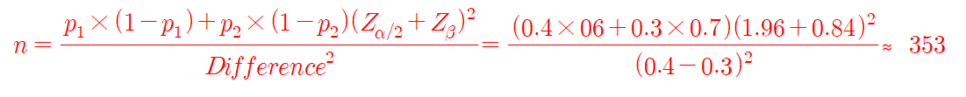
eg. 난치성 질환 환자들을 대상으로 치료약이 합병증을 낮추는 효과가 있는지 알아보는 임상시험을 계획한다. 선생연구에서 합병증은 40%로 알려져 있다. 치료효과는 합병증을 10%감소시키면 임상적으로 유의하다고 판정한다. 유의수준 σ=0.05, 검정력 80%로 설정하였을 때 필요한 표본 크기는 얼마일까요?
A : 통계분석은 카이스퀘어(x2) 테스트를 이용하여 비율차이에 대한 양측검정을 합니다.
귀무가설 H0 : 대조군 합병증 - 시험군 합병증 = 0%
대립가설 H1 : 대조군 합병증 - 시험군 합병증 ≠ 0%

따라서, 시험군과 대조군에 필요한 연구 대상 표본 수는 각각 353명으로 산정할 수 있습니다.
퀵데이터는 여러분의 성공을 위해 오늘도 함께 하겠습니다~~^^
퀵데이터에서 제공하는 논문 통계 대행 서비스
✔ 논문주제 및 연구모형 설계 자문
✔ 논문설문 설계 및 데이터 정리
✔ 논문통계 분석 및 해석 결과 제공
✔ 논문 작성 및 첨삭, 완성도 향상
✔ 학술지 논문 제출용 포맷 지원까지
논문통계분석, 퀵데이터와 함께라면 전략이 됩니다. ☎ 1600-7473
'논문자료 > 논문통계분석' 카테고리의 다른 글
| 다변량 분석의 첫걸음_ 상관계수와 산포도_원인과 결과 퀵데이터에서 알아보기 (0) | 2020.08.19 |
|---|---|
| [퀵데이터] 민감도 및 특이도 산출을 위해 필요한 시험 대상자 검체 수 규모 추정 방법은? (0) | 2020.08.18 |
| P 값의 'P'는 뭘 까요?? 퀵데이터에서 알아봐요^^ (0) | 2020.08.18 |
| 통계는 왜 필요할까요???_퀵데이터 (0) | 2020.08.18 |
| 통계학의 척도! 데이터 분류 기준은 어떻게 할까요?_퀵데이터 (0) | 2020.08.18 |
